1- الدفعات الثابتة بداية المدة:
نميز هذا النوع من خلال تاريخ الدفعة الأولى الذي يكون في نفس تاريخ بداية العقد و نستعمل هذا
النوع من الدفعات غالبا عند تكوين رأس مال، فتاريخ أول دفعة هو نفسه التاريخ لبداية تكوين رأس مال أو بداية التوظيف في البنك. كما يمكن تمييزها من خلال تاريخ آخر دفعة الذي يكون قبل فترة واحدة من نهاية العقد، فآخر دفعة لتكوين رأس مال تكون قبل فترة واحدة من تاريخ تكوين الجملة النهائية و سحبها.

1-1- الجملة المكتسبة لبداية المدة Vn: (خليفة، 2019-2020)
وهي الجملة أو القيمة التي يكتسبها أو يتحصل عليها الشخص من جراء إيداع أو توظيف أو استثمار مبالغ مالية متساوية القيمة خلال فترات زمنية منتظمة ودورية.وبالتالي فإن القيمة المكتسبة لمتتالية دفعات ثابتة في بداية المدة هي مجموع القيم المكتسبة للدفعات المتتالية.
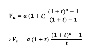
إذا رمزنا لعناصر الجملة أو القيمة المكتسبة بفوائد مركبة بالرموز التالية:
Vn: القيمة المكتسبة )الجملة(
a: قيمة الدفعة الثابتة
: t معدل الفائدة المركبة
n :عدد الدفعات

لتكن Vn الجملة أو القيمة المكتسبة المتحصل عليها بعد جمع القيم المكتسبة لكل الدفعات بعد المدة 𝒏 فنحصل على العلاقة الرياضية التالية:
![]()
و بالتالي فإن مجموع هذه القيم المكتسبة للدفعات تشكل متتالية هندسية حدها الأول a(1+t) و أساسها (1+t) و حدها الأخير a(1+t)n-1 و عدد حدودها n.
وبتطبيق العلاقة الرياضية لحساب مجموع متتالية هندسية متزايدة التي تُعطى وفق الصيغة التالية:

ملاحظـــــة:
جملة متتالية دفعات متساوية بداية المدة ما هي إلا جملة متتالية دفعات متساوية لنهاية المدة مضروبة في المقدار: (1+t)
مثال (4-1):
قام شخص بإيداع مبلغ مالي قيمته 5000 دج في بداية كل سنة ولمدة 10 سنوات متتالية، فما هي القيمة المكتسبة التي سيتحصل عليها بعد نهاية المدة المتفق عليها إذا كان معدل الفائدة المركبة هو 4 % سنويا.
الحل:
a = 5000 DA t= 0.04 n=10
