تتوقف الفائدة البسيطة على العناصر الثلاثة الآتية:
ü رأس المال (أصل المبلغ): وهو رأس المال أو المبلغ المودع أو المبلغ المقترض أو المبلغ المستثمر أو أي مبلغ آخر، و هو مقدار المبلغ الذي يقوم المودع بإيداعه بالبنك أو مقدار المبلغ الذي يقوم البنك بإقراضه للمقترض أو هو مقدار المال المستثمر. ويُطلق عليه )المبلغ الأصلي(، ويُرمز له بـالرمز .C
ü معدل الفائدة: وهو سعر الفائدة أو معدل الفائدة الذي يتم الاتفاق عليه بين طرفي عملية الاستثمار والذي يمنحه المدين إلى الدائن نظير منح الدائن )المقرض( مبلغ الاستثمار إلى المدين )المقترض(، ويُعبر عنه سنويًا أو سداسياً أو شهريًا، يُرمز له بالرمز."t"
ü المدة ( الزمن): وهي تُمثل الفترة الزمنية التي يضع فيها الدائن )المقرض( المبلغ لدى المدين )المقترض(، أي من تاريخ ابتداء العملية الاستثمارية حتى نهايتها. وقد تكون مدة القرض أو مدة الإيداع أو مدة الاستثمار أو غير ذلك. كما تكون هذه المدة محددة بالأيام، أو بالأشهر أو بالسنوات. ويُرمز بالمدة بالرمز .n
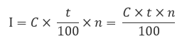
: للفائدة البسيطة المتحصل عليها، فإن العلاقة الرياضية لحسابها تعطى بالصيغة التاليةIإذا رمزنا بالرمز


مثال (1-1):
من خلال توظيف مبلغ قيمته 20000 دج في البنك لمدة سنتين و بمعدل فائدة سنوي6%، نتحصل.
- أحسب الفائدة بسيطة.
الحل: 