4-1- المعدلات المتكافئة (ساحل، 2017) :
يكون معدلين لفترتين مختلفتين متكافئتين، إذا أنتجا نفس القيمة المكتسبة أو الجملة بنفس رأس المال و لنفس الفترة.
و بصفة عامة إذا كان ta: معدل الفائدة السنوي و لفترة واحدة، و tk هو معدل الموافق للفترة q و م هي جزء من الفترة الواحدة. فإن tk و tk يكونا متكافئتين إذا كان لدينا:
C(1+ta) = c(1+tk)q
(1+ta) = (1+tk)q
ملاحظة: المعدل المكافئ يطبق في حالة الفائدة المركبة.
مثال(3-13):
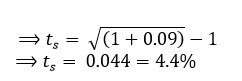
ما هو المعدل السداسي المكافئ للمعدل السنوي 9%.
الحل:
q=2 ta= 9%
(1+ta) = (1+ts)q (1+0.09) = (1+ts)2

تمرين
أودع شخص في أحد البنوك و بمعدل فائدة مركبة سنوي 5,5% المبالغ التالية:
- 1800 دج في 01-01-2002.
- 2300 دج في 01-01-2003.
- 970 دج في 01-01-2004.
المطلوب: أحسب المبلغ الإجمالي المسحوب في 01-01-2006.
الحل:
المبلغ الإجمالي المسحوب يمثل جملة المبالغ الثلاثة المودعة إلى غاية 01-01-2006:
CnTotal= 1800(1+0.055) 4+2300(1+0.055) 3 +970(1+0.055) 2 = 6010.26 DA