تتمثل في مجموع الدفعات إضافة للفوائد المترتبة عليها إلى غاية آخر مدة العقد التي توافق مع آخر دفعة.

Vn= a(1+t)n-1 +[a+r](1+t)n-2 +[a+2r](1+t)n-3 + ………. +[a+(n-2)r](1+t) + a+(n-1)r
نقوم بعملية النشر و إخراج a عامل مشترك.
Vn= a(1+t)n-1 +a (1+t)n-2 +a(1+t)n-3 + ………. +a(1+t) + a + r (1+t)n-2 +r(1+t)n-3 + ………. +(n-2)r(1+t) + (n-1)r
لتبسيطها نقوم بتجزئتها لقسمين: Vn= Vn1 + Vn2
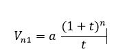
Vn1= a(1+t)n-1 +a (1+t)n-2 +a(1+t)n-3 + ………. +a(1+t) + a
نلاحظ أن Vn1 تمثل متتالية هندسية أساسها (1+t) و حدها الأول a و عدد حدودها n ، و عليه يمكن تعويضها بعلاقة المجموع.

Vn2 = r (1+]t)n-2 +2r(1+t)n-3 + ………. +(n-2)r(1+t) + (n-1)r
بضرب طرفي المعادلة في (1+t) نحصل على:
Vn2 ( 1+t) = r (1+t)n-1 +2r(1+t)n-2 + ………. +(n-2)r(1+t)2 + (n-1)r (1+t)
نقوم بعملية الطرح للعلاقتين الأخيرتين طرف لطرف مع الأخذ بعين الاعتبار الحدود التي لها نفس القوة.
Vn2 ( 1+t)-Vn2 =r (1+t)n-1 +[2r(1+t)n-2 -r (1+t)n-2] + [3r(1+t)n-3-2 r(1+t)n-3]+………. +[(n-2)r(1+t)2 - (n-3)r (1+t)2]+[(n-1)r(1+t)-(n-2)r(1+t)]- (n-1)r
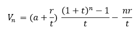
= [r(1+t)n-1 + r(1+t)n-2 + r(1+t)n-3+…..+r(1+t)2 + r(1+t) + r]-nr
نلاحظ أن بين العارضتين هناك متتالية هندسية أساسها (1+t)، و حدها الأول r، و عدد حدودها n.
بالتالي تصبح العلاقة الأخيرة كالتالي:


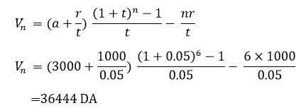
مثال (4-13):
وظف شخص 6 دفعات سنوية تتزايد بقيمة 1000 دج سنويا حيث قيمة الدفعة الأولى 3000 دج و ذلك بمعدل فائدة مركبة 5% .
- .أحسب الجملة المحصل عليها عند آخر دفعة ؟
الحل:
n= 6 t = 5% a = 3000 DA r= 1000 DA
