استهلاك القروض بطريقة الدفعات المتساوية:
في هذه الطريقة يتم سداد القرض وفوائده بأقساط متساوية تدفع بصفة دورية في نهاية كل فترة زمنية خلال مدة القرض، وهذا يعني أن الدفعات المسددة في نهاية كل فترة تكون متساوية.
ملاحظة: البنوك الجزائرية تتعامل بهذه الطريقة (الدفعات المتساوية). (طلحة، 2023-2024)
تشكيل جدول الاهتلاك بهذه الطريقة:
لتشكيل جدول الاهتلاك بطريقة الدفعات المتساوية (أقساط متساوية من الأصل والفوائد معا) يجب حساب مختلف العناصر المكونة للجدول:
- حساب الدفعة (a):
قيمة القرض (Vo) هي القيمة الحالية للدفعات الثابتة في نهاية المدة (الدفعات متساوية وتدفع في نهاية كل فترة) وبالتالي حسب قانون القيمة الحالية للدفعات الثابتة في نهاية المدة تكون لدينا:

حساب الفوائد (I):
- الفوائد في هذه الطريقة تحسب على رصيد القرض في بداية الفترة أي:

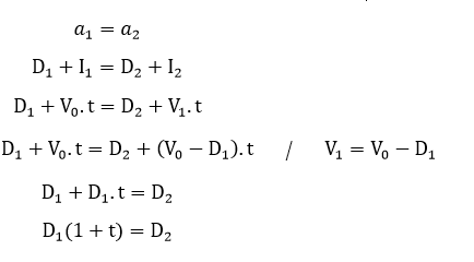
العلاقة بين الاهتلاكات:
- بما أن الدفعات متساوية في هذه الطريقة، فإنه يكون لدينا:
