Passer au contenu principal
Nom d’utilisateur
Mot de passe
Connexion
Forgotten your username or password?
USMT
📅 Moodle par année
Consultez les cours de l'année académique 2025/2026
Consultez les cours de l'année académique 2024/2025
Consultez les cours de l'année académique 2023/2024
CILT
Français (fr)
English (en)
Français (fr)
العربية (ar)
Rechercher des cours
Envoyer
الرياضيات المالية ( شعبة علوم التسيير)
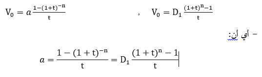
حساب العلاقة بين الدفعة (a) والاهتلاك الأول (D_1)
من العلاقات السابقة لدينا المعادلتين التاليتين:
الجدول (5-3):
جدول الاهتلاك على النحو التالي:
Modifié le: samedi 16 novembre 2024, 22:34
◄ استهلاك القروض بطريقة الدفعات المتساوية
Aller à…
Aller à…
Annonces
بطاقة تعريفية للمقياس
التصحيح النموذجي للامتحان السداسي الثالث
المراجع
المصادر
الجدول المالي (3)+(4)
مفاهيم حول الفائدة والفائدة البسيطة
حساب الفائدة:
تحديد مدة التوظيف
للمحادثة و طرح الأسئلة
TD 01
الفائدة الصحيحة و الفائدة التجارية
حساب الجملة المكتسبة
واجب
طرح الأسئلة
مفهوم الأوراق التجارية وأنواعها
الخصم التجاري:
TD02
طرح الأسئلة
الخصم التجاري والخصم العقلاني (الصحيح):
الأجيو (AGIO)
تكافؤ الأوراق التجارية:
واجب
طرح الأسئلة
مفهوم الفائدة المركبة و قانونها الأساسي
القيمة الحالية و الخصم بالفائدة المركبة
TD03
طرح الأسئلة
المعدلات المتناسبة والمعدلات المتكافئة
المعدلات المتكافئة
واجب
طرح الأسئلة
مفاهيم أساسية حول الدفعات
الدفعات الثابتة بداية المدة
TD04
طرح الأسئلة
القيمة الحالية لبداية المدة V0
الدفعات الثابتة نهاية المدة
القيمة الحالية لبداية المدة V0
طرح الأسئلة
واجب
دفعات عشوائية
الجملة المكتسبة للدفعات المتزايدة حسابيا نهاية المدة 𝑽𝒏
طرح الأسئلة
تعريف القرض و أنواعه
طرق استهلاك القروض العادية
طرح الأسئلة
استهلاك القروض بطريقة الدفعات المتساوية
طرح الأسئلة
طرح الأسئلة ►
Retour