1-1- تكافؤ ورقتين تجاريتين
نقول أن ورقتين تجاريتين متكافئتين إذا كانتا مختلفتين في القيمة الاسمية و تاريخ الاستحقاق و تساوتا في القيمة الحالية بتاريخ معين، وعليه فان هذه القيمة الحالية تسمى قيمة التكافؤ و التاريخ يسمي تاريخ التكافؤ، و لما تتكافأ ورقتين تجاريتين يَكون استبدالهما لان لهم نفس القيمة الحالية عند تاريخ الاستبدال.
تحديد تاريخ التكافؤ:
تاريخ التكافؤ تتساوى فيه القيم الحالية للورقتين و بالضرورة يكون قبل تاريخ استحقاق لكلا الورقتين و يَكون التعبير عنه من خلال الشكل التالي:
الشكل (2-1): تاريخ التكافؤ
مثال (2-4):
ورقتان تجاريتان قيمتهما الإسمية و تاريخ استحقاقهما كالتالي:
- الورقة الأولى 1477,78 دج تستحق الدفع في 2 جانفي 2012.
- الورقة الثانية 1508,25 دج تستحق الدفع في 2 مارس 2012.
المطلوب:
- بمعدل خصم سنوي 12%، هل الورقتين التجارتين متكافئتين بتاريخ 3 ديسمبر 2011.
الحل:
- حساب القيمة الحالية للورقة التجارية الأولى Va1
حساب القيمة الحالية للورقة التجارية الأولى Va1
عدد الأيام بين التاريخين( 3-12-2011 و 2-1-2012 ):
المدة = ( 31-3) + 2 = 30 يوم
Va1= vn1( 1-t×n1)=
- حساب القيمة الحالية للورقة التجارية الأولى Va2
عدد الأيام بين التاريخين( 3-12-2011 و 2-3-2012 ):
المدة = ( 31-3) + 31+29+2 = 90 يوم

الورقتان لهما نفس القيمة الحالية التجارية في 3 ديسمبر 2011. و عليه نقول أن الورقتين متكافئتين في ذلك التاريخ.
1-1- تكافؤ ورقة تجارية مع مجموعة من الأوراق التجارية (ساحل، 2017)
تكون ورقة تجارية ( أو رأس مال) متكافئة مع مجموعة من الأوراق التجارية( أو مجموعة من رؤوس الأموال) في تاريخ محدد إذا تم خصمهم بنفس المعدل و في ظل نفس الشروط في ذلك التاريخ ( تاريخ التكافؤ)، و تساوت القيمة الحالية التجارية لمجموعة من الأوراق. و بناءا على التعريف السابق فإن:
القيمة الحالية للورقة الوحيدة = مجموع القيم الحالية للأوراق الأخرى
Va= Va1 + Va2 +………………….+ Van
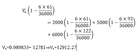
Vn ( 1-t ×n)= Vn1( 1-t×n1)+ Vn2( 1-t ×n2)+…………+ Vnn( 1-t ×nn)
مثال ( 2-6):
تاجر مدين بموجب الأوراق التجارية التالية:
- الورقة الأولى قيمتها الإسمية 2000 دج تستحق الدفع في 1 ماي 2015.
- الورقة الثانية قيمتها الإسمية 5000 دج تستحق الدفع في 1 جوان 2015.
- الورقة الثالث قيمتها الإسمية 6000 دج تستحق الدفع في 1 جويلية 2015.
قرر التاجر في 1 مارس 2015 استبدال الأوراق الثلاثة بورقة وحيدة تستحق الدفع في 1 ماي 2015.
المطلوب: تحديد القيمة الإسمية للورقة الوحيدة، إذا علمت أن معدل الخصم السنوي 6%.
الحـــــل:
تاريخ تكافؤ الأوراق التجارية هو 1 مارس
حساب عدد الأيام بين تاريخ الاستحقاق و تاريخ التكافؤ 1 مارس.
- الورقة الأولى:
المدة = ( 31 – 1) + 30 + 1= 61 يوم
- الورقة الثانية:
المدة= ( 31-1) + 30 + 31+ 1= 92 يوم
- الورقة الثالثة:
المدة= ( 31-1) + 30 + 31+30+ 1= 122 يوم
الورقة الوحيدة تاريخ استحقاقها 1 ماي و تاريخ التكافؤ 1 مارس
انطلاقا من علاقة التكافؤ:
Vn ( 1-t ×n)= Vn1( 1-t×n1)+ Vn2( 1-t ×n2)+ Vn3( 1-t ×n3)
