1-1- الخصم التجاري:
يعد هذا الخصم الأكثر شيوعا في الاستعمال ويحسب على أساس القيمة الاسمية وفقا للعلاقة الخاصة بالخصم والتي تطرقنا إليها فيما سبق ويرمز له بالـ Ec
مثال (2-2):
ورقة تجارية قيمتها 15000 دج تم خصمها بمعدل خصم 5 % قبل تاريخ استحقاقها بـ60 يوم
- أحسب قيمة الحالية للورقة تجارية؟
الحل:
Vn= 15000 t = 5% n = 60/360

1-1- الخصم العقلاني:
لاحظنا في الخصم التجاري أنه تم حساب الفائدة المترتبة عن عملية الخصم على أساس القيمة الاسمية للورقة و هي نفس صيغة احتساب الفائدة المسبقة أي أن تسديد الفائدة يكون مسبق إلا أنه في الخصم العقلان فيتم احتساب مبلغ الخصم على أساس القيمة الحالية يوم إجراء عملية الخصم و هي الصيغة التي نعتمد عليها في حساب الفائدة البسيطة البعدية و عليه فان صيغة الخصم العقلان تكون كالتالي : (رفافة، 2019-2020)
Er = Var×t×n
ترميز:
Er : قيمة الخصم التجاري
Var: القيمة الحالية العقلانية للورقة التجارية
و منه القيمة الحالية العقلانية تختلف عن القيمة الحالية التجارية و تحسب كالآتي :
Var = Vn – Er
Var = Vn – Var × t × n
Var ( 1 + t × n) = Vn

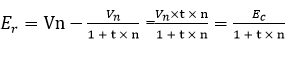
و من هذه العلاقة يَكن وضع صيغة الخصم العقلان انطلاقا من القيمة الاسمية للورقة كالتالي:
Er = Vn – Var

مثال (2-3):
ورقة تجارية قيمتها الاسمية 25000 دج، معدل الخصم 6% و لمدة 6 أشهر
- أحسب الخصم العقلان لورقة تجارية؟
الحـــــــل:
Vn = 25000 t= 6% n=6/12= 0.5
