تتمثل في مجموع الدفعات مستحدثة إلى تاريخ أول دفعة.

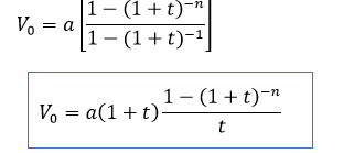
V0= a+ a (1+t)-1 + a (1+t)-2+……………………+ a (1+t)-n+2 + a (1+t)-n+1
= a [1+(1+t)-1 + (1+t)-2+……………………+ (1+t)-n+2 + (1+t)-n+1]
لدينا a مضروبة في متتالية هندسية أساسها (1+t)-1 و حدها الأول يساوي 1 و عدد حدودها n.

مثال ( 4-6):
يتم تسديد قرض من خلال 5 دفعات سنوية ثابتة ابتداء من تاريخ الحصول على القرض حيث قيمة الدفعة تقدر بـ 22395.88 دج بمعدل فائدة 6 %
- ما هي قيمة القرض؟
الحل:
a= 22395.88 DA t = 6% n=5

Modifié le: samedi 16 novembre 2024, 22:01