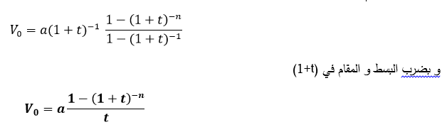
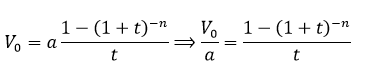
1-1- القيمة الحالية لبداية المدة V0:
تتمثل في مجموع الدفعات مستحدثة إلى تاريخ بداية العقد أي فترة واحدة قبل تسديد أول دفعة.

V0= a(1+t)-1 + a(1+t)-2 +……………………+ a(1+t)-n+1 + a(1+t)-n
V0= a[(1+t)-1 + (1+t)-2 +……………………+ (1+t)-n+1 + (1+t)-n]
لدينا a مضروبة في متتالية هندسية أساسها (1+t)-1 و حدها الأول يساوي (1+t)-1 و عدد حدودها n.

مثال (4-10):
قرض قيمته 200000 دج، يتم تسديده بواسطة 30 دفعة ثابتة سنوية، قيمته الدفعة 16000 دج، و تدفع الأولى منها في نهاية السنة الأولى من تاريخ القرض.
- ما هو معدل الفائدة المركبة السنوية المطبق؟
الحل:
V0= 200000 DA n= 30 a = 16000 DA


بالكشف في الجدول المالي رقم ( 04)، نجد أن القيمة 12,5 غير موجودة عند المدة n=30 بل تقع بين معدلتين t=7% و t= 6%.

Modifié le: samedi 16 novembre 2024, 22:10