1- الدفعات الثابتة نهاية المدة: (بوعروري، 2020-2021)
دفعات نهاية المدة عادة ما تكون موجهة لتغطية التزام سابق أو الوفاء بدين وجملة دفعات نهاية الفترة هي ما تجمع للشخص المودع أو المسدد في نهاية عدد من الفترات n بعد أن قدم n دفعة متساوية
وهي مجموع جملة كل دفعة من الدفعات كما هو موضح في الشكل أدناه:

ملاحظة:
- عند الزمن0 لا تكون هناك أي دفعة
- آخر دفعة تكون في الزمن n و بالتالي فالدفعة الأخيرة لا تنتج فوائد
1-1- حساب الجملة المكتسبة عند نهاية المدة Vn:
لحساب جملة الدفعات يكفي جمع هذه الدفعات في نهاية المدة أي عند آخر دفعة n كما هو موضح في الدول التالي:

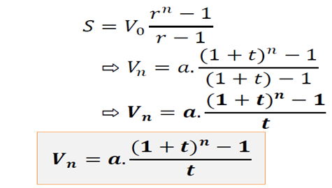
وبالتالي فإن جملة الدفعات المتحصل عليها في نهاية المدة تُساوي مجموع الجمل )القيم المكتسبة(لكل دفعة، وتُعطى بالصيغة الرياضية التالية:
وبالتالي فإن مجموع هذه القيم المكتسبة للدفعات تُشكل متتالية هندسية متزايدة حدها الأول 𝑎 وأساسها (1+t) ، وعدد حدودها 𝑛.
وبتطبيق العلاقة الرياضية لحساب مجموع متتالية هندسية متزايدة التي تُعطى وفق الصيغة التالية:
