TD 5++ Automatisme Industriels




1- choix technologie :
compléter le tableau suivant :

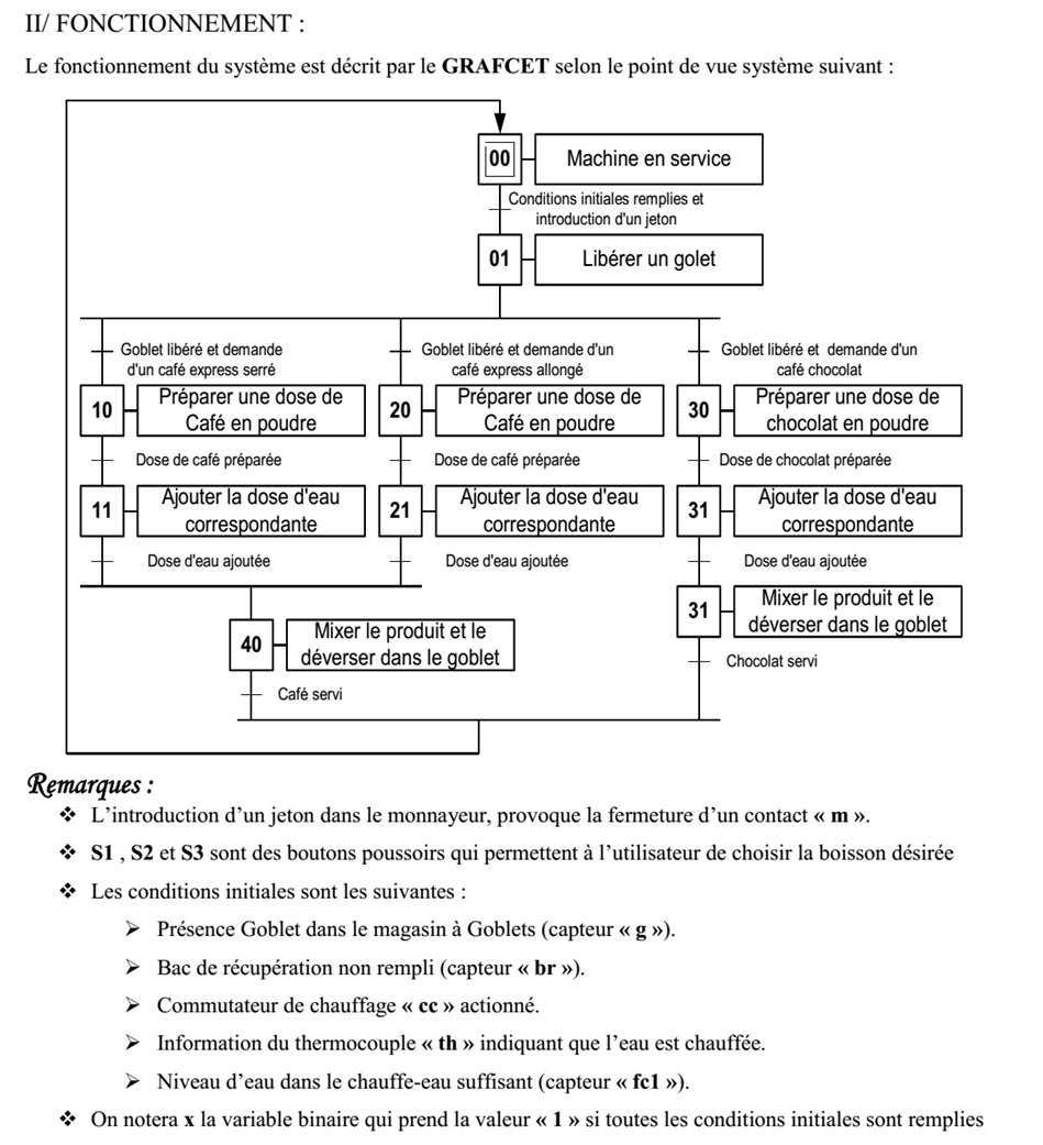
2- Grafcet
2 .1 - Déterminer la condition qui décrit l’état initial du
2.2 - Ecrit le Grafcet de point de vue partie commande
2 .3 donnent un tableau qui représente les équations activations désactivation des étapes.
2 .4 donnent les schémas de commande et de puissance.
Modifié le: dimanche 10 mars 2024, 08:46