Cours 2: Statique des fluides
Statique des fluides.
I1 . Hypothèses
Dans ce chapitre, nous considèrerons que les fluides étudiés sont en équilibre et au repos. Les différentes cellules de fluide peuvent glisser les unes sur les autres sans frottement (le fluide est supposé parfait), et il n’y a pas de vitesse d’écoulement (qui sera vu dans les prochains chapitres).
12. Notions de pression
La pression exercée par une force F agissant perpendiculairement sur une surface S est :
(1.1)
L’unité légale (SI) de pression est le Pascal tel que: .
On utilise également l’hectopascal (hPa) tel que: 
Autres unités :
-le bar tel que:
-l’atmosphère tel que:
appelée pression atmosphérique généralement arrondie à 100000 pa.
13. Pression en un point d’un fluide au repos (Théorème de Pascal)

Figure (1.1) : Pression en un point d’un liquide au repos
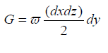
Supposons que le liquide exerce une pression px sur la surface (dz dy), une pression pz sur la surface (dx dy) et une certaine pression ps sur la surface (ds dy) de l’élément.
Donc l’intensité des forces de pression (s’appliquant de façon normale aux surfaces) est :
(1.2)
La force de gravité agissant sur cet élément de fluide est :
(1.3)
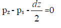
Dans la direction horizontale des x :
d’où:
sachant que:
on obtient:
(1.4)

d’où
et en sachant que :
on obtient
Et si l’on réduit l’élément de volume à un point,c'est à dire
on obtient:
(1.5)
Des équations (1.4) et (1.5), on obtient : px = pz = ps (1.6)
Par conséquent, la pression hydrostatique en un point donné d’un fluide au repos est la
même (agit de façon égale) dans toutes les directions
On peut vérifier que la pression exercée au sein d’un liquide en équilibre,
- est constante en tous points d’un même plan horizontal.
- est indépendante de la direction considérée.
- croît au fur et à mesure que l’on s’éloigne de sa surface libre.
14. Principe fondamental de l’hydrostatique

Figure 1.2:Principe fondamental de l’hydrostatique
La différence de pression entre deux points d’un fluide en équilibre est donnée par la relation:
avec:
ρ est la masse volumique du fluide en (kg/m3)
h est la dénivellation entre les deux points A et B en (m)
g est l’accélération de la pesanteur (9,81 N/kg)
ΔP = PA-PB est la différence de pression en (Pa)