Cours 5: chapitre 1
Statique des fluides ( suite)
1.9. Hydrostatique dans d’autres champs de force
Dans certains cas particuliers, d’autres champs sont à prendre en considération. Les
équations fondamentales générales de l’hydrodynamique sont valables s’il n’y a de
mouvement relatif entre les particules de fluide, elles sont aussi valables si le fluide est
accéléré en bloc comme un corps solide.
On s’intéresse aux deux cas suivants :
1. Cas d’un liquide soumis à l’action de la pesanteur avec accélération constante
2. Cas d’un liquide soumis à l’action de la pesanteur avec rotation uniforme.
1.9.1. Champ de pesanteur avec accélération horizontale constante
Soit un liquide homogène soumis à une accélération horizontale constante a, comme représenté ci dessous.

on a donc:
; ainsi les équations (1.6) deviennent :
La pression est donc fonction uniquement de x et de z.
La variation totale de la pression est définie comme suit :
ce qui donne 
La pression est définie par:
(1.9)
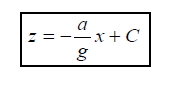
On divise les deux termes de l’équation (1.9) par (ω = ρg), et on isole la constante C, on obtient :
(1.10)
L’équation (1.10)représente l’équation fondamentale de l’hydrostatique dans le champ de pesanteur avec accélération horizontale constante.
Les lignes isobares (lignes d’égale pression) sont des lignes dont tous les points sont soumis à la même pression, elles sont définies par l’équation suivante:
(1.11)
L’équation (1.11) représente l’équation générale des lignes d’égales pression, qui sont des droites de pente (-a/g) orthogonales au vecteur F.
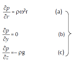
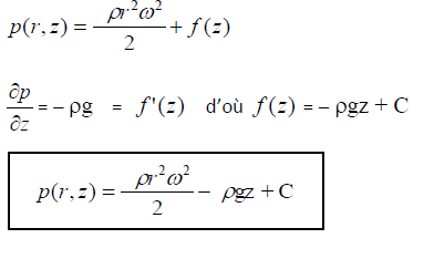
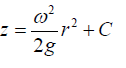
1.9.2. Champ de pesanteur avec rotation uniforme
Considérons un réservoir cylindrique qui tourne à une vitesse angulaire ω constante.




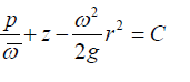
On divise les deux termes de l’équation (1.12) par (ω = ρg), et on isole la constante C, on obtient :
(1.13)
L’équation (1.13)représente l’équation fondamentale de l’hydrostatique dans le champ de pesanteur avec rotation uniforme.
Les lignes isobares (lignes d’égale pression) sont des lignes dont tous les points sont soumis à la même pression, elles sont définies dans ce cas par l’équation suivante:
(1.14)
L’équation (1.14) représente l’équation générale des lignes d’égales pression, qui sont des paraboles de révolution symétriques par rapport à l’axe de rotation, orthogonales au vecteur F.